Since the early 1990s, we investigated the effect on numbers of brown trout and juvenile salmon of fencing out livestock from streams and tree cutting. The early work was based on the River Piddle, a chalk stream in Dorset. On this very productive stream, fish numbers responded positively once stock were fenced off and riparian vegetation allowed to recover.
The next phase of this work in the late 1990s was in harsher climates and less productive streams of Herefordshire on the River Monnow, and mid-Wales on the Clywedog Brook. Results here showed little evidence of improvement in trout or juvenile salmon abundance following fencing out livestock or tree cutting to reduce shading. In 2006, we received funding from the Atlantic Salmon Trust for a three-year study to compare numbers and biomass of juvenile salmon and brown trout between fenced and unfenced, and shaded and unshaded reaches of tributaries of the Tywi and Teifi in West Wales.
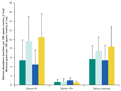
Figure 1: Abundance of salmon fry (0+), parr (>0+) and biomass

We compared 33 reaches split into one of four categories:
- fenced (stock excluded) and shaded,
- fenced and not shaded,
- unfenced and shaded
- unfenced and not shaded.
We selected shaded reaches on the basis that more than 80% of the water was shaded, and unshaded reaches on the basis that less than 10% of the water was shaded. All reaches were grazed by sheep, dairy or beef cattle. Fenced reaches were made stock-proof with wire mesh on both sides of the stream. The length of reaches within each category averaged between 498 and 1,277 metres. We divided the central 100 metres of each reach into two sites of approximately 50 metres and sampled them using electrofishing. We calculated fish densities for salmon fry (0+) and parr (>0+) and trout fry (0+), parr (1+) and adults (>1+).
We found no statistically significant differences between numbers of juvenile salmon and brown trout recorded in the four categories (see Figures 1 and 2). Salmon fry (0+) seemed to be more abundant in unshaded sites, but the effect was not statistically significant.
Figure 2: Abundance of brown trout fry (0+), parr (1+) and older trout (>1+) and biomass

We also collected data on water depth, substrate size and abundance of marginal vegetation at the sampling sites. When correlated with fish density, we found that densities of salmon >0+, trout 0+ and 1+ were significantly related to substrate, being highest in sites containing a predominantly cobble and boulder substrate (> 6cm diameter). In addition, densities of salmon 0+, trout 1+ and >1+ were significantly related to water depth, with salmon 0+ being more abundant at sites with a higher ratio of shallow water, and trout 1+ and >1+ more abundant where the ratio indicated deeper water. Trout biomass was also positively related to water flow and substrate.
Implications for management
Our work suggests that excluding livestock from the banks of chalk streams can increase the abundance of juvenile salmon and brown trout. This is caused by significant changes to the river width, depth, flow and amount of cover available following fencing. However, we have failed to replicate these results on upland rivers, because the physical habitat may not change as markedly within the river following stock exclusion on this naturally less productive river type. Hence care must be taken when targeting and planning the objectives of fencing projects on upland rivers.
Acknowledgements
We wish to thank the Atlantic Salmon Trust for sponsoring this work.